发布者:primerbank 时间:2017-09-22 浏览量:982
·
,, Email author and Email author
BMC Bioinformatics201011:509 https://doi.org/10.1186/1471-2105-11-509 © Yang et al; licensee BioMed Central Ltd. 2010
Received: 9 January 2010 Accepted: 13 October 2010 Published: 13 October 2010
Polymerase chain reaction with confronting two-pair primers (PCR-CTPP) method produces allele-specific DNA bands of different lengths by adding four designed primers and it achieves the single nucleotide polymorphism (SNP) genotyping by electrophoresis without further steps. It is a time- and cost-effective SNP genotyping method that has the advantage of simplicity. However, computation of feasible CTPP primers is still challenging.
In this study, we propose a GA (genetic algorithm)-based method to design a feasible CTPP primer set to perform a reliable PCR experiment. The SLC6A4 gene was tested with 288 SNPs for dry dock experiments which indicated that the proposed algorithm provides CTPP primers satisfied most primer constraints. One SNP rs12449783 in the SLC6A4 gene was taken as an example for the genotyping experiments using electrophoresis which validated the GA-based design method as providing reliable CTPP primer sets for SNP genotyping.
The GA-based CTPP primer design method provides all forms of estimation for the common primer constraints of PCR-CTPP. The GA-CTPP program is implemented in JAVA and a user-friendly input interface is freely available at http://bio.kuas.edu.tw/ga-ctpp/.
Genotyping is a common technique used in association studies of diseases and cancers. Although many high-throughput platforms of single nucleotide polymorphism (SNP) genotyping, such as SNP array [1] and real-time PCR using TaqMan probes [2], have been introduced, most laboratories still validate SNP or novel mutation by PCR-restriction fragment length polymorphism (RFLP) genotyping [3, 4, 5, 6] because this method is inexpensive for small-scale genotyping. One shortcoming of PCR-RFLP is its long digestion time (usually in 2-3 hours) for restriction enzymes [7, 8].
Recently, a restriction enzyme-free SNP genotyping technique called "PCR with confronting two-pair primers (PCR-CTPP)" was developed [9, 10, 11, 12]. It has been applied successfully to at least 30 different SNP genotypings. For example, interleukin-1B (IL-1B) C-31T, interleukin-2 (IL-2) -330G, beta2-adrenergic receptor (beta2-AR) Gln27Glu, and aldehyde dehydrogenase 2 (ALDH2) were genotyped by PCR-CTPP for association studies with smoking behavior [13], pylori-induced gastric atrophy [14], severe coronary artery disease [15], and esophageal cancer risk [16], respectively. There is no doubt that the PCR-CTPP method is suitable and reliable for most cases of SNPs. This method considerably lowers the need to consume restriction enzymes. However, the criteria for the PCR-CTPP primers are only tolerant of a small difference in melting temperature (Tm-diff) between the four primers in the PCR-CTPP method [10]. Moreover, typical primer design constraints also need to be considered, such as primer length, primer length difference, PCR product length, GC proportion, melting temperature (Tm), GC clamp, dimer (including cross-dimers and self-dimers), hairpin structure, and specificity. Hence, the computational requirements needed to improve the primer design with PCR-CTTP are rather high.
To design CTPP primers with many corresponding constraints, we introduce a genetic algorithm (GA) [17, 18] to improve the design of CTPP primer sets. GA is a stochastic search algorithm modeled on the process of natural selection underlying biological evolution [19]. It constitutes a randomized search and an optimization technique that derives its working principle from natural genetics. Since GA computation is similar in nature to the evolution of the species, it best fits DNA behavior associated with SNP interaction [20] and general primer design [21]. The evolutionary computations involved, such as selection, crossover and mutation, are effective in achieving optimal solutions for many CTPP primer sets. After each run, chromosomes in a GA share information with each other and the superior solutions based on a fitness rule are refined from generation to generation. Therefore, CTPP primers obeying the typical primer design constraints described above can be mined.
The CTPP primer design problem can be described as follows. Let T D be a template DNA sequence, which is composed of nucleotide codes with an identified SNP. T D is defined by:
TD={Bi|i is the index of DNA sequence,1≤i≤ι,∃!Bi∈IUPAC code of SNP}
(1)
where B i is the regular nucleotide code (A, T, C, or G) mixed with a single IUPAC code of SNP (M, R, W, S, Y, K, V, H, D, B or N) (is the existence and uniqueness). For the target SNP, we focused only on true SNPs described in dbSNP [22] of NCBI, i.e., deletion/insertion polymorphisms (DIPs) and multi-nucleotide polymorphisms (MNPs) are not included.
The CTPP primer design requires two pairs of short sequences which are constraining in T D based on a defined SNP site as illustrated (Figure 1). The forward primer 1 (Pf 1) is a short sense sequence in the upstream (5' end) of a defined SNP site for some distances; the reverse primer 1 (Pr 1) is a short antisense sequence which contains a nucleotide (the minor allele of the defined SNP site) located at its 3' end; the forward primer 2 (Pf 2) is a short sense sequence which contains a nucleotide (the major allele of the defined SNP site) located at its 3' end; and the reverse primer 2 (Pr 2) is the antisense sequence in the upstream of a defined SNP site for some distances. These four primers are defined as follows:
The target SNP site is defined at the end positions of Pf 2and Pr 1, which are indicated by the symbols Fe 2and Re 1, respectively. As described in Figure 1, a vector (v) with Fl 1, Pl 1, Rl 1, Fl 2, Pl 2and Rl 2is essential to design the CTPP primer sets. This vector is defined as follows:
The weights (3, 10, 50, 60 and 100) of the fitness function are applied to estimate the importance of the primer constraints. These weights are set according to the experiential conditions for PCR-CTPP. They also accept adjustment based on the user experimental requirements.
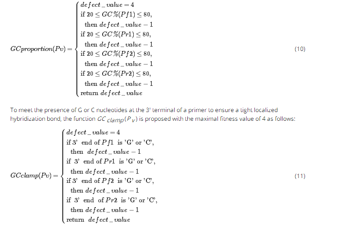
The feasible primer length for a PCR experiment is set between 16 and 28 bp. For longer primers, the Tm is increased whereas the Tm of relatively short primers is decreased. Accordingly, primers which are neither too long nor too short are suitable. We have limited the random values of Fl 1, Rl 1, Fl 2and Rl 2in an appropriate range; therefore, the primer length estimation is not considered to be joined to the fitness function.
A length difference (Len diff ) of less than or equal to 3 bp between the Fl 1/Rl 1, Fl 2/Rl 2, and Fl 1/Rl 2primer sets is considered optimal. The primer length difference function is defined as follows:
Primer dimers (annealing of two primers), such as cross-dimers (a forward primer and a reverse primer anneal to each other) and self-dimers (two forward primers or two reverse primers anneal to each other) must also be avoided. To check for the occurrence of primer dimers, the function dimer(P v ) is proposed with the maximal fitness value of 10:
Primer dimers (annealing of two primers), such as cross-dimers (a forward primer and a reverse primer anneal to each other) and self-dimers (two forward primers or two reverse primers anneal to each other) must also be avoided. To check for the occurrence of primer dimers, the function dimer(P v ) is proposed with the maximal fitness value of 10:

The hairpin check is also implemented to avoid annealing due to the secondary structure of a primer. To check for the presence of a hairpin structure in CTPP primers, the function hairpin(P v ) is proposed with the maximal fitness value of 4 as follows:

Subsequently, the function specificity(P v ) is proposed to check for repetition of each CTPP primer in the template DNA sequence to ensure its specificity. The PCR experiment may fail when a designed primer is not sequence-specific (i.e. it reappears in the genome). The fitness value of the primers (Pf 1, Pr 1, Pf 2or Pr 2) appearing in T D is evaluated using a binary value, i.e., when the primers repeatedly appear in T D , the specificity(P v ) is defined as 1; or else the specificity(P v ) is defined as 0.
Finally, the function PCR len(P v ) is proposed with the maximal fitness value of 7 to calculate the appropriate lengths of the PCR products. Three ratios - i.e. ratio1, ratio2 and ratio3 - are introduced to the function PCR len(P v ) representing Pl 1, Pl 2and Pl 3, respectively. The minimum length of PCR products needs to be greater than 100 bp.

Figure 2
Flowchart of the GA-based CTPP primer design. At first, a random initial population is generated and then all fitness values of all chromosomes in the population are calculated by the fitness function. A judgment on termination conditions is carried out, and if the termination conditions are reached then the algorithm will be finished, or else the algorithm proceeds with the following processes. Selection, crossover and mutation operations are performed and finally the worst chromosomes are replaced by the better chromosomes. The procedure is repeated in the next iteration until the termination conditions are reached.
To start the algorithm, chromosomes P v = (Fl 1, Pl 1, Rl 1, Fl 2, Pl 2, Rl 2) of particular number are randomly generated for an initial population without duplicates. Fl 1, Rl 1, Fl 2and Rl 2are randomly generated between the minimum and the maximum of the primer length constraint. The minimum and maximum lengths of the primer length constraint are set to 16 and 28 bp, respectively. The PCR product lengths, Pl 1and Pl 2are randomly generated between 100 bp and δ1, and between 100 bp and δ2, respectively. (δ1 and δ2 are the maximum tolerant PCR product lengths of Pl 1and Pl 2shown in Figure 1)
The fitness value in the fitness function is used to ascertain that an individual chromosome is either good or bad. We use formula (7) to evaluate the fitness values of all chromosomes in the population for related chromosomal operations later.
In GA, the processes for evolutionary computation include selection, crossover and mutation. Here, random selection is applied to select two chromosomes from the population. The two selected chromosomes are processed by the crossover operation. Uniform crossover is used to implement the crossover operation. The flowchart of the crossover process is shown in Figure 3, and an example of the crossover operation is shown in Figure 4. One-point mutation is applied in the proposed GA. The mutation process flowchart is shown in Figure 5, and an example of the mutation operation is shown in Figure 6.
Figure 3
Crossover flowchart for CTPP primer design. Two P v from the population are randomly selected for crossover. At first, a six bit binary mask is generated and indicates which variables need to be exchanged. All exchanged variables are checked for violation of a constraint. If a constriction is violated, the exchanged variables will be restored, or else the process goes on to the next step.
Figure 5
Mutation flowchart for CTPP primer design. When a mutation operation is performed, a mutation point in P v will be randomly selected and a corresponding value generated. Then the variable will be checked for violation of a constriction. If a constriction is violated, a random point is reselected and the variable is regenerated; otherwise the original value is replaced by the variable and the process continues in the next step.
After the evolutionary computation processes have been implemented, the two worst chromosomes in a population are replaced by the new offsprings, and the process is repeated in the next generation.
Once an optimal solution of chromosomes (i.e. the fitness value is 0) or the maximum number of iterations is achieved, the GA is terminated.
There is already one alternative nucleotide in the defined SNP for the CTPP primers Pf 2and Pr 1. If a further SNP exists in any other CTPP primers, such as Pf 1and Pr 2, the Tm between all primers is more dynamic and is difficult to optimize. Accordingly, we avoid designing primers Pf 1and Pr 2with extra SNPs, i.e., all the designed primers for Pf 1and Pr 2including SNPs are eliminated without further processing.
The proposed algorithm was run using Xeon(TM) CPU 3.20 GHz × 2 and 2 GB RAM under the Microsoft Windows XP SP2 and JAVA 5.0 platforms.
Four main parameters are set for the proposed algorithm, i.e. the number of iterations (generations), the population size, the probability of crossover and the probability of mutation. The respective values were 1000, 50, 0.6 and 0.001; the values are based on DeJong and Spears' parameter settings [24]. The population size was then set at 1000 and the other parameters were held constant; only the population size was increased (see Discussion for detail). The PCR product length was set to three ratios (ratios 1, 2, and 3) at 8, 13, and 20, respectively, which allowed for the distinct separation of PCR bands via gel electrophoresis. These ratios were chosen based on our previously conducted PCR experiments.
A point mutation in the SLC6A4 gene was recently identified and shown to be associated with autism spectrum disorders [25], psychosis [26], and bipolar [27] patients. The SLC6A4 gene is the member 4 for a solute carrier family 6 (neurotransmitter transporter, serotonin). The common constraints for CTPP primer design were used, including a flanking length of 500 bp, primer length of between 16~28 bp, GC% between 20~80%, primer Tm between 45 and 62°C, difference of CTPP primer Tm of less than 1°C, product length larger than 100 bp, and clearly separated PCR bands in gel electrophoresis. The SNPs for SLC6A4 gene (288 SNPs) are used as an example in this study which excluded the deletion/insertion polymorphisms (DIPs) and multi-nucleotide polymorphisms (MNPs). These SNPs were retrieved with 500 bp flanking length (at both sides of SNP) from SNP-Flankplus (http://bio.kuas.edu.tw/snp-flankplus/) [28]; the reference cluster IDs of these SNPs are shown in http://bio.kuas.edu.tw/ga-ctpp/dataset.jsp.
The entire CTPP primer set results are provided at http://bio.kuas.edu.tw/ga-ctpp/appendix.jsp and statistics of the results based on the common constraints of GA-based CTPP primers are shown in Table 1. For the 288 SNPs, there are 1152 representative primers for GC%, GC clamp, Tm, hairpin and specificity criteria (288 × 4 = 1152; a CTPP primer set contains four primers for a SNP). For the length difference, Tm difference and the product length criteria, there are only 864 (288 × 3 = 864; a CTPP primer set which contains four primers to lead three product lengths). The number of dimer is 2880 (each primer may form self-dimer and two different primers may form cross-dimer in a CTPP primer set). The primer lengths are all between 16 and 28 bp. In ID1 as shown in Table 1, the parameter settings are based on DeJong and Spears, the designed primer length difference violated the parameter settings for 215 primers (215/864). Most of the primer length differences were between 0 and 5 bp (data not shown). For GC%, 30 primers were less than 20%, 25 primers were more than 80% and the GC% distribution was mainly between 30% and 70% (data not shown). Approximately half of the primers (645/1152) did not satisfy the GC clamp criteria. Most of the designed primers also satisfied Tm (998/1152); however, only approximately 23.6% (204/864) of the primer pairs satisfied the Tm difference criteria. The criteria for product length were satisfied in approximately 71.2% (615/864) of the designed primer pairs. For the criteria for primer dimer, hairpin and specificity, few primers were problematic (128/2880, 162/1152 and 35/1152, respectively).
Table 1
The statistics of the designed CTPP primers showing how many primers satisfied the common constraints for SNPs of the SLC6A4 gene*
* The results of ID 1 and ID2 are the parameter settings based on DeJong and Spears but ID2 is modified with an increased population size to 1000.
One SNP rs12449783 in the SLC6A4 gene was taken as an example for the genotyping test. Three DNA samples with three known different SNP genotypes for rs12449783 were used to demonstrate the effectiveness of the GA-based CTPP primer design.
The designed CTPP primer set for rs12449783 in the SLC6A4 gene is given in Table 2. DNA samples were added to the PCR reaction mixture (10 μl) containing 1 μl of 10× PCR buffer, 0.3 μl of 50 mM MgCl2, 0.2 μl of 10 mM dNTPs, 0.6 μl of DMSO, 0.14 μl of 5 U Platinum Taq enzyme (Invitogen corp.), 0.12 μl of 350 μg/ml primer mix (1:1), and 7.64 μl of DNA in water. Primer mixtures of several combinations were used: Pf 1/Pr 1and Pf 2/Pr 2, and Pf 1/Pr 2(Figure 1). The used PCR program had the following paramaters: 94°C (4 min); 49 cycles at 94°C for (30 s), 50°C for (20 s), 72°C (20 s); and 72°C (5 min). PCR products were separated by electrophoresis on a 1.5% regular agarose gel followed by ethidium bromide staining.
Table 2
The information for the designed CTPP primers for rs12449783 of the SLC6A4 gene
The bold font represents a SNP.
In the principle of PCR-CTPP, two paired primers (four primers; P f1 , P r2 , P r1 , and P r2 ) should be placed in one tube. Accordingly, when it is succeeded, two DNA bands are amplified for the heterozygotes and three DNA bands for the heterozygotes. As shown in Figure 7A, the samples were performed in PCR-CTTP using four CTPP primers (P f1 , P r2 , P r1 , and P r2 ) within one tube (lanes 4, 8, and 12). Moreover, we also performed these PCR reactions separately for each set of CTPP primers (P f2 P r2 for lanes 1, 5, and 9; P f1 P r1 for lanes 2, 6, and 10; and P f1 P r2for lanes 3, 7, and 11, respectively), to clearly validate the performance for each combination of the CTPP primers (P f2 P r2 ; P f1 P r1 ; or P f1 P r2 ) designed by our proposed computational algorithm.
As in Figure 7A for either the four CTPP primers or three different sets of two combined CTPP primers, the samples with AA genotype showed AA-negative for 228-bp (P f1 P r1 ) and AA-positive for 105- (P f2 P r2 ) and 294-bp (P f1 P r2 ); the samples with CC genotype showed CC-negative for 105-bp and CC-positive for 228- and 294-bp; and the samples with AC genotype showed AC-positive for 228-, 105- and 294-bp. Accordingly, the bands of the A- and C-alleles-specific PCR amplifications were successfully demonstrated for AA/AC (105-bp) and CC/AC (228-bp), respectively. The internal positive PCR controls for all alleles (i.e., A and C) were confirmed. Therefore, it is clearly demonstrated that our proposed algorithm is able to provide the validated primers for PCR-CTPP.
Using the same samples in Figure 7A, the CTPP results were examined further using the TaqMan probes which were ABI no. hcv_7911133, VIC-/FAM-labels for ACACATAGAAAGTTACAGACTAGCA[A/C]GTCTGGTATTCATAAAGAATTGTGA, respectively. The TaqMan probe program was performed by a 2 step-protocol built-in the ABI real-time system (50°C, 2 min (stage 1, 1 cycle), 95°C, 10 min (stage 2, 1 cycle), 95°C, 15 sec (stage 3, 40 cycles), and 60°C, 1 min.). As shown in Figure 7B, the samples with AA, AC, and CC genotypes for rs12449783 in PCR-CTPP results (Figure 7A) were confirmed to be the same using the TaqMan probe assay. Therefore, the primer information for PCR-CTPP designed by our proposed algorithm was well proved.
To date, many primer design approaches have been proposed, such as dynamic programming [29], parthenogenetic algorithm MG-PGA [30], greedy algorithm [31], heuristic algorithm [32], genetic algorithm [21, 33], memetic algorithm [28] and any others. However, most of these methods do not provide the SNP genotyping function. In contrast, we reported the brief idea of the GA-CTPP method for primer design of SNP genotyping in the IEEE BIBE 2009 conference [34]. The differences between them and the improvements of the algorithm proposed in this study are described in the additional file 1. In this study, we present an improved GA-based algorithm which has been shown to be a robust search and optimization method for a number of practical problems, especially for highly complex problems for SNP genotyping with the CTPP primers design function. We had used electrophoresis to validate the reliability of the GA-based CTPP primer design method.
In PCR-CTPP, the designed annealing temperatures of primers are more important than in PCR-RFLP. When the Tm value is similar among the four primers of PCR-CTPP, the PCR competition between all possible DNA products is balanced [10]. When the annealing temperature is low, the PCR reactions are non-specific, leading to incorrect heterozygous genotyping. Therefore, a competitive or specific amplification is important to correctly genotype SNPs using PCR-CTPP. This problem is resolved by computationally finding similar Tmvalues for the four CTPP primers and by experimentally adjusting the annealing temperature for the PCR [10, 35]. The GA used in this study to design the PCR-CTPP primers improves the efficiency by finding almost identical Tm values for the four primers. The in silico testing of the proposed GA-based PCR-CTPP primer design showed it to fit the Tm constraint to the primers reliably (Table 1).
Since the Tm is important to our proposed GA-based PCR-CTPP method, further basic research is required to determine other factors to improve this automated PCR-CTPP system. This study is also concerned with the typical primer design constraints, such as primer length, primer length difference, GC proportion, GC clamp, dimer of primer pair (including cross-dimers and self-dimers), hairpin, PCR product length and specificity etc. as described in the Methods section.
Dejong and Spears' parameter settings are the standard for most GAs, and for this reason, they were used in the present study. Typically, crossover is usually applied at more than or equal to the rate of 0.6, and the mutation rate is equal to 0.001 [24]. However, the population size 50 of Dejong and Spears's parameter settings is too small to provide the necessary sampling accuracy for the design of CTPP primer sets. Consequently, we tested the population size for 100, 200, 300, 400, 500, 600, 700, 800, 900, and 1000 to evaluate the primer design performance. When the population size was increased to 1000, it provides the more accurate sampling (as shown in the additional file 2). As shown in Table 1 ID2, the number of primers that satisfy the constraints was increased to 9.11% and 35.65% for the Tm and the Tm difference constraint, respectively. For other constraints, the numbers of satisfied constraints were almost similar. The results demonstrate that the increased population size can aid in the search for more feasible CTPP primer sets.
The GA-CTPP can be accessed at http://bio.kuas.edu.tw/ga-ctpp/. GA-CTPP designs appropriate two-pair primers to genotype a defined SNP based on the parameter settings of DeJong and Spears. Parameter settings or the primer design conditions can be changed individually by users based on their requirements. When the input sequence contains multiple SNPs, the first SNP will be taken as the defined SNP to design CTPP primer sets. GA-CTPP reports an optimal set of confronting two-pair primers through a text file that records all information of the CTPP primer set for genotyping of the defined SNP.
PCR-CTPP may replace PCR-RFLP because the restriction enzyme digestion step can be omitted, resulting in lower costs and shorter genotyping times [10]; however, the PCR-CTPP is less developed for its computational tool providing PCR-CTPP primer design. A novel strategy for PCR-CTPP primer design has been introduced in this paper and the freely available web server implemented with this method was also constructed. With experimental validation, our proposed GA-based method is a useful algorithm to design feasible CTPP primers and it conforms to most of the PCR-CTPP constraints.